Delivering an In-Home Exercise Program via Telerehabilitation: A Pilot Study of Lung Transplant Go (LTGO)
DOI:
https://doi.org/10.5195/ijt.2016.6201Abstract
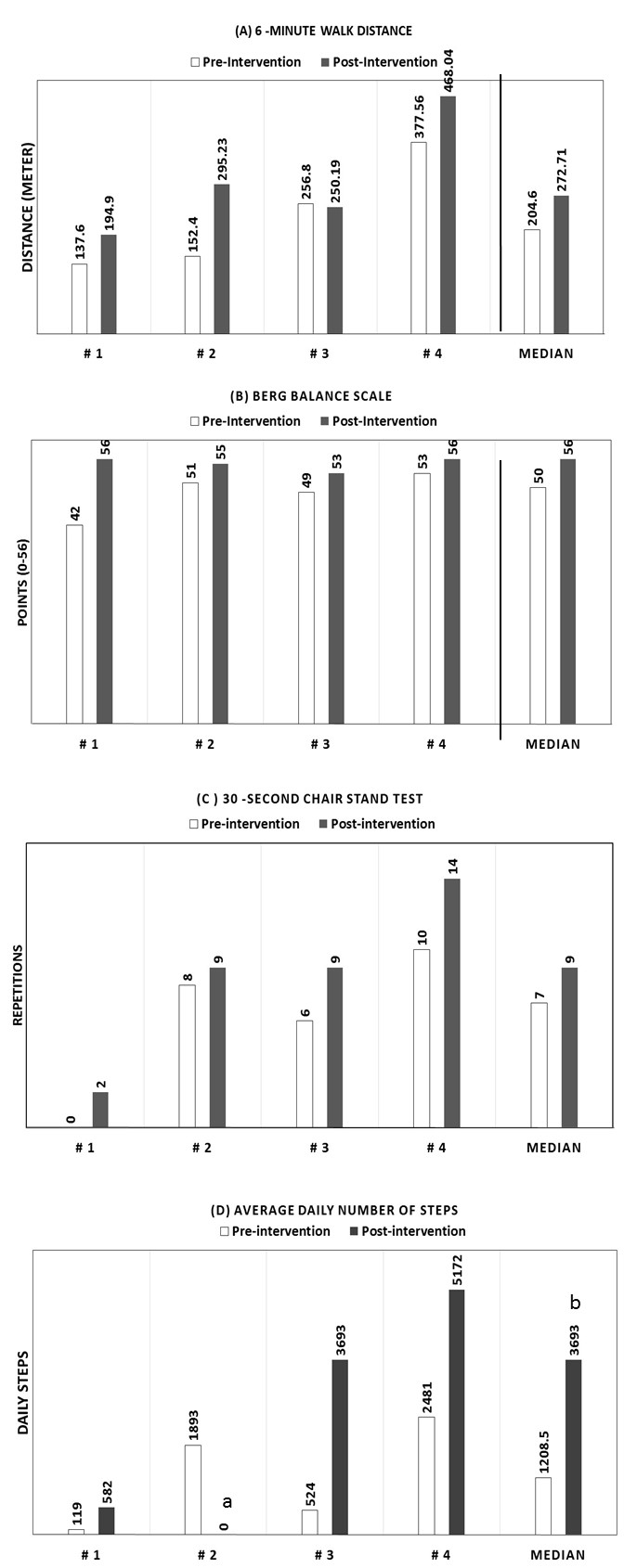
We evaluated the feasibility, safety, system usability, and intervention acceptability of Lung Transplant Go (LTGO), an 8-week in-home exercise intervention for lung transplant recipients using a telerehabilitation platform, and described changes in physical function and physical activity from baseline to post-intervention. The intervention was delivered to lung transplant recipients in their home via the Versatile and Integrated System for TeleRehabilitation (VISYTER). The intervention focused on aerobic and strengthening exercises tailored to baseline physical function. Participants improved walk distance (6-minute walk distance), balance (Berg Balance Scale), lower body strength (30-second chair stand test) and steps walked (SenseWear Armband®). No adverse events were reported. Participants rated the program highly positively in regard to the technology and intervention. The telerehabilitation exercise program was feasible, safe, and acceptable. Our findings provide preliminary support for the LTGO intervention to improve physical function and promote physical activity in lung transplant recipients.
References
American Thoracic Society. (2002). ATS statement: guidelines for the six-minute walk test. American Journal of Respiratory & Critical Care Medicine, 166, 111-117. doi: 10.1164/ajrccm.166.1.at1102
Bartels, M. N., Armstrong, H. F., Gerardo, R. E., Layton, A. M., Emmert-Aronson, B. O., Sonett, J. R., & Arcasoy, S. M. (2011). Evaluation of pulmonary function and exercise performance by cardiopulmonary exercise testing before and after lung transplantation. Chest, 140, 1604-1611. doi: 10.1378/chest.10-272
Benton, M. J., & Alexander, J. L. (2009). Validation of functional fitness tests as surrogates for strength measurement in frail, older adults with chronic obstructive pulmonary disease. American Journal of Physical Medicine & Rehabilitation, 88, 579-583; quiz 584-576, 590. doi: 10.1097/PHM.0b013e3181aa2ff8
Berg, K., Wood-Dauphinee, S., & Williams, J. I. (1995). The Balance Scale: reliability assessment with elderly residents and patients with an acute stroke. Scandinavian Journal of Rehabilitation Medicine, 27(1), 27-36.
Berg, K. O., Wood-Dauphinee, S. L., Williams, J. I., & Maki, B. (1992). Measuring balance in the elderly: validation of an instrument.
Canadian Journal of Public Health, 83 (Suppl 2), S7-11.
Cereda, E., Turrini, M., Ciapanna, D., Marbello, L., Pietrobelli, A., & Corradi, E. (2007). Assessing energy expenditure in cancer patients: a pilot validation of a new wearable device. Journal of Parenteral Enteral Nutrition, 31, 502-507.
Chan, E. G., Bianco, V., 3rd, Richards, T., Hayanga, J. W., Morrell, M., Shigemura, N., . . . D'Cunha, J. (2016). The ripple effect of a complication in lung transplantation: Evidence for increased long-term survival risk. Journal of Thoracic Cardiovascular Surgery, 151, 1171-1180. doi: 10.1016/j.jtcvs.2015.11.058
Collins, E. G., Bauldoff, G., Carlin, B., Crouch, R., Emery, C. F., Garvey, C., . . . Nici, L. (2014). Clinical competency guidelines for pulmonary rehabilitation professionals: position statement of the American Association of Cardiovascular and Pulmonary Rehabilitation. Journal of Cardiopulmonary Rehabilitation and Prevention, 34, 291-302. doi: 10.1097/HCR.0000000000000077
Faett, B. L., Brienza, D., Geyer, M. J., & Hoffman, L. A. (2013). Teaching Self-Management Skills in Persons With Chronic Lower Limb Swelling And Limited Mobility: Evidence For Usability of Telerehabilitation. International Journal of Telerehabilitation, 5(1), 17-25.
Faett, B. L., Geyer, M. J., Hoffman, L. A., & Brienza, D. M. (2012). Design and development of a telerehabilitation self-management program for persons with chronic lower limb swelling and mobility limitations: preliminary evidence. Nursing Research and Practice, 2012. doi: 10.1155/2012/608059.
Fruin, M. L., & Rankin, J. W. (2004). Validity of a multi-sensor armband in estimating rest and exercise energy expenditure. Medicine & Science in Sports & Exercise, 36, 1063-1069.
Holland, A. E., Hill, C. J., Rochford, P., Fiore, J., Berlowitz, D. J., & McDonald, C. F. (2013). Telerehabilitation for people with chronic obstructive pulmonary disease: feasibility of a simple, real time model of supervised exercise training. Journal of Telemedicine and Telecare, 19, 222-226. doi: 10.1177/1357633X13487100
Jakicic, J. M., Marcus, M., Gallagher, K. I., Randall, C., Thomas, E., Goss, F. L., & Robertson, R. J. (2004). Evaluation of the SenseWear Pro Armband to assess energy expenditure during exercise. Medicine & Science in Sports & Exercise, 36, 897-904.
Jones, C. J., Rikli, R. E., & Beam, W. C. (1999). A 30-s chair-stand test as a measure of lower body strength in community-residing older adults. Research Quarterly for Exercise and Sport, 70, 113-119.
King, G. A., Torres, N., Potter, C., Brooks, T. J., & Coleman, K. J. (2004). Comparison of activity monitors to estimate energy cost of treadmill exercise. Medicine & Science in Sports & Exercise, 36, 1244-1251.
Langer, D., Burtin, C., Schepers, L., Ivanova, A., Verleden, G., Decramer, M., . . . Gosselink, R. (2012). Exercise training after lung transplantation improves participation in daily activity: a randomized controlled trial. American Journal of Transplantation, 12, 1584-1592. doi: 10.1111/j.1600-6143.2012.04000.x
Langer, D., Gosselink, R., Pitta, F., Burtin, C., Verleden, G., Dupont, L., . . . Troosters, T. (2009). Physical activity in daily life 1 year after lung transplantation. Journal of Heart and Lung Transplantation, 28, 572-578. doi: 10.1016/j.healun.2009.03.007
Marquis, N., Larivee, P., Saey, D., Dubois, M. F., & Tousignant, M. (2015). In-Home Pulmonary Telerehabilitation for Patients with Chronic Obstructive Pulmonary Disease: A Pre-experimental Study on Effectiveness, Satisfaction, and Adherence. Telemedicine and e-Health, 21, 870-879. doi: 10.1089/tmj.2014.0198
Mathur, S., Levy, R. D., & Reid, W. D. (2008). Skeletal muscle strength and endurance in recipients of lung transplants. Cardiopulm Physical Therapy Journal, 19(3), 84-93.
Mathur, S., Reid, W. D., & Levy, R. D. (2004). Exercise limitation in recipients of lung transplants. Physical Therapy, 84, 1178-1187.
Maury, G., Langer, D., Verleden, G., Dupont, L., Gosselink, R., Decramer, M., & Troosters, T. (2008). Skeletal muscle force and functional exercise tolerance before and after lung transplantation: a cohort study. American Journal of Transplantation, 8, 1275-1281. doi: 10.1111/j.1600-6143.2008.02209.x
Parmanto, B., Saptono, A., Pramana, G., Pulantara, W., Schein, R. M., Schmeler, M. R., . . . Brienza, D. M. (2010). VISYTER: versatile and integrated system for telerehabilitation. Telemedicine and e-Health, 16, 939-944. doi: 10.1089/tmj.2010.0033
Redelmeier, D. A., Bayoumi, A. M., Goldstein, R. S., & Guyatt, G. H. (1997). Interpreting small differences in functional status: the Six Minute Walk test in chronic lung disease patients. American Journal of Respiratory and Critical Care Medicine, 155, 1278-1282. doi: 10.1164/ajrccm.155.4.9105067
Rochester, C. L., Fairburn, C., & Crouch, R. H. (2014). Pulmonary rehabilitation for respiratory disorders other than chronic obstructive pulmonary disease. Clinics in Chest Medicine, 35, 369-389. doi: 10.1016/j.ccm.2014.02.016.
Rochester, C. L., Vogiatzis, I., Holland, A. E., Lareau, S. C., Marciniuk, D. D., Puhan, M. A., . . . ZuWallack, R. L. (2015). An Official American Thoracic Society/European Respiratory Society Policy Statement: Enhancing Implementation, Use, and Delivery of Pulmonary Rehabilitation. American Journal of Respiratory and Critical Care Medicine, 192, 1373-1386. doi: 10.1164/rccm.201510-1966ST
Schein, R. M., Schmeler, M. R., Brienza, D., Saptono, A., & Parmanto, B. (2008). Development of a service delivery protocol used for remote wheelchair consultation via telerehabilitation. Telemedicine and e-Health, 14, 932-938. doi: 10.1089/tmj.2008.0010
Schein, R. M., Schmeler, M. R., Saptono, A., & Brienza, D. (2010). Patient satisfaction with telerehabilitation assessments for wheeled mobility and seating. Assistive Technology, 22, 215-222. doi: 10.1080/10400435.2010.518579
Singh, S. (2016). One Step at a Time. Lifestyle Physical Activity Interventions. Annals of the American Thoracic Society, 13, 586-587. doi: 10.1513/AnnalsATS.201601-039ED
Tousignant, M., Marquis, N., Page, C., Imukuze, N., Metivier, A., St-Onge, V., & Tremblay, A. (2012). In-home Telerehabilitation for Older Persons with Chronic Obstructive Pulmonary Disease: A Pilot Study. International Journal of Telerehabilitation, 4(1), 7-14. doi: 10.5195/ijt.2012.6083
Tudor-Locke, C. E., & Myers, A. M. (2001). Methodological considerations for researchers and practitioners using pedometers to measure physical (ambulatory) activity. Research Quarterly for Exercise and Sport, 72(1), 1-12. doi: 10.1080/02701367.2001.10608982
Walsh, J. R., Chambers, D. C., Davis, R. J., Morris, N. R., Seale, H. E., Yerkovich, S. T., & Hopkins, P. M. (2013). Impaired exercise capacity after lung transplantation is related to delayed recovery of muscle strength. Clinical Transplantation, 27, E504-511. doi: 10.1111/ctr.12163
Yusen, R. D., Edwards, L. B., Kucheryavaya, A. Y., Benden, C., Dipchand, A. I., Dobbels, F., . . . Stehlik, J. (2014). The Registry of the International Society for Heart and Lung Transplantation: Thirty-first Adult Lung and Heart-Lung Transplant Report-2014; Focus Theme: Retransplantation. Journal of Heart and Lung Transplantation, 33, 1009-1024. doi: 10.1016/j.healun.2014.08.004
Zanaboni, P., Lien, L. A., Hjalmarsen, A., & Wootton, R. (2013). Long-term telerehabilitation of COPD patients in their homes: interim results from a pilot study in Northern Norway. Journal of Telemedicine and Telecare, 19, 425-429. doi: 10.1177/1357633X13506514
 
						 ISSN 1945-2020 (online)
ISSN 1945-2020 (online)
